Cousera的Andrew机器学习课程.
Maching Learning的两个定义
监督学习与非监督学习
监督学习:classificaton与regression
liner regression

损失函数
非监督学习:clustering和non-clustering 密度估计
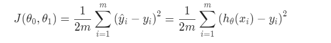
cost function

等高线图
梯度下降算法将代价函数最小化

Gradient Descent and norm Equation
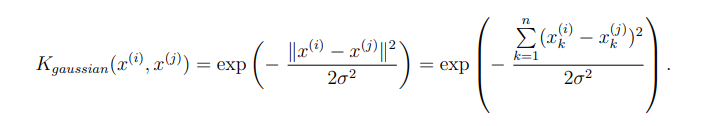
摆烂了由于不太想写所以之前没更新了.现在写一下svm这一章的题.
推荐去看斯坦福的这门课,也是ng讲的.

update
我现在课程看完了,作业可以在我的github仓库中看一看
